Technical Service

资源

总有人问DANTE软件的模型优势,这篇一次讲透!

2026-01-09 338
 DANTE热处理仿真软件在行业中树立了准确性和多功能性的标杆。凭借先进的材料模型、丰富的材料数据库以及可定制数据和工艺表征的能力,DANTE相较其他软件具有强大优势。无论是奥氏体分解、机械塑性、渗碳、氮化还是回火,DANTE都捕捉了热处理的关键物理原理。我们独特的模型,如速率依赖的奥氏体化、非线性硬度以及低至高温回火,能够精确预测变形、应力和微观结构变化。结合可定制的材料和工艺数据,DANTE帮助制造商和研究人员减少试错,优化周期,并提供一致且高质量的结果。

DANTE特色材料模型,覆盖全面工艺

DANTE提供一系列特色材料模型,适用于不同热处理场景:

  • 奥氏体分解模型:考虑碳和化学成分的影响,区分上、下贝氏体相。

  • 机械塑性模型:塑性行为随应变、应变率、温度、碳含量和微观组织变化。

  • 速率依赖奥氏体化模型:适用于从炉内加热到感应加热、激光加热等多种加热速率。

  • 回火与非线性硬度模型:涵盖低温与高温回火过程,模拟马氏体向回火马氏体的转变。

  • 渗碳与氮化模型:模拟碳化物在渗碳过程中的形成与分解,优化工艺以避免有害碳化物。

一、奥氏体分解模型

  • DANTE奥氏体分解模型依赖于碳和化学成分。
  • 上贝和下贝氏体被视为两个独立的相。
  • 奥氏体中的碳会受到加热时间和温度的影响,初始碳化物分解过程。
  • 奥氏体分解模型包括奥氏体在冷却或淬火过程中向扩散相和马氏体的相变。
  • 相的转变依赖时间和温度。
  • DANTE使用解析方程而非TTT图以增强鲁棒性。
  • 冷却(淬火)期间的相变取决于化学成分(碳和合金含量)以及晶粒尺寸。
  • 化学成分可以直接在三维有限元分析模型中指定。
  • 有效描述温度变化和相变引起的应变。

1.png

二、相变引起的潜热模型

  • 有效材料模型,考虑奥氏体化和奥氏体分解产生的潜热。
  • 对于快速加热过程(感应硬化或激光硬化),潜热对奥氏化深度的影响显著。
  • 带有马氏体转变的大型零件的潜热效应显著。

2.png

三、淬火或冷却时的自动回火模型

  • 对于具有高马氏体开始转变温度(Ms)的合金,模型模拟了形成马氏体冷却过程中的自动回火。
  • 这一能力对于准确预测硬度至关重要,因为回火马氏体的硬度取决于具体的回火条件,包括冷却速率。

3.png

四、碳分配模型

  • 冷却过程中,奥氏体中的碳含量增加,形成铁素体(碳分配)。
    • 奥氏体中碳越高,材料的硬化性越高,而Ms越低。
    • 材料模型有助于更准确地预测经过热处理部件的残余应力、变形和硬度。
  • 根据热处理工艺的历史,每相中的实际碳含量可能不同。

4.png

五、奥氏化过程中的初始碳化物分解模型

  • 由于初始材料中不同的碳化物和碳化物尺寸,它们在奥氏体中的分解速率也不同。
    • 奥氏体中的碳含量通过碳化物分解材料模型模拟。
    • 该材料模型对于奥氏体化过程中含有部分碳化物的高碳钢的建模是必要的(AISI 52100)
    • 该材料模型对于高加热速率奥氏体化工艺:感应硬化和激光硬化是必需的。

5.png

六、机械塑性模型

  • 塑性模型是应变、应变速率、温度、碳和微观结构相的函数。
  • DANTE机械塑性模型采用非线性多相混合定律。
  • 在淬火硬化和维护过程中,有效逆转应力。
  • 屈服应力与应力反转(包辛格效应)不同,这需要运动学硬化(DANTE机械模型)
  • 本构方程考虑碳化物的影响。

七、淬火硬化过程中的应力逆转

  • 淬火硬化过程中,应力会伴随热应力、相变应力和几何效应等非线性效应。
  • 应力逆转也可能发生在服役中的部件(如R<0疲劳)。
  • 需要机械模型和运动硬化,以模拟不同的屈服行为(包辛格效应)。
  • DANTE采用内部状态变量(ISV)模型,并采用运动学硬化。

6.png

八、带有包辛格效应的运动硬化模型

  • 单向加工硬化的屈服应力在卸载时和反向加载时减小(包辛格效应)。
  • 下图为使用DANTE ISV模型绘制的反向载荷应力-应变曲线。
  • 传统的有效应变模型无法有效描述这一现象。

7.png

九、描述应变的有效力学模型

  • DANTE机械模型对于描述热处理过程中各种应变非常有效。
    • 准确描述应变对于残余应力和变形建模至关重要。

  • DANTE材料模型中考虑的应变类型包括:
    • 热应变
    • 奥氏体化应变
    • 奥氏体分解产生的应变
    • 马氏体回火、碳化物沉淀和粗化应变
    • 在渗碳或氮化过程中添加碳/碳化物、氮气/氮化物应变
    • 应力松弛和蠕变产生的应变

8.png

十、速率依赖奥氏体化模型

  • 适用于低加热速率和高加热速率(奥氏体化)工艺。
  • 低加热速率:炉子加热(真空或大气)
  • 高加热速率:感应加热、激光加热等。
  • DANTE基于速率的奥氏体化模型对于描述奥氏体中的碳含量非常有效。

9.png

  • 由于奥氏体化温度和浸泡时间不同,淬火过程中马氏体的起始温度也不同。

10.png

  • DANTE速率依赖的奥氏体化和碳化物分解材料模型可以高精度预测残余应力、变形、相变与硬度。
  • 描述奥氏体中碳转变的有效碳化分解模型:
    • 作为初始碳化物尺寸和分数的函数
    • 作为奥氏体化时间的函数
    • 作为浸泡温度的函数

11.png

十一、回火与非线性硬度模型

  • DANTE回火模型可以考虑低温和高温回火。
  • 包括时间和温度相关的马氏体到回火马氏体转变。
  • DANTE回火模型可以模拟碳化物的沉淀和粗化,以实现硬度和强度。

十二、碳化物沉淀与粗化

  • DANTE回火模型具有时间和温度相关的特性:
    • 从马氏体到回火马氏体是与时间和温度相关转变
    • 铁碳化物粗化,描述因回火引起的软化。
    • 合金碳化物析出和粗化,描述了二次硬化效应。

12.png

  • DANTE回火模型也可用于描述回火过程中材料体积的变化。
    • 模型依赖于碳,描述碳化物尺寸分布。
    • 该模型对于残余应力变化或回火裂纹至关重要。

13.png

十三、非线性硬度模型

  • 硬度是根据混合定律计算的,利用相的体积分数计算。硬度模型还考虑:
    • 铁碳化物和允许碳化物的贡献。
    • 材料因铁碳化物粗化而软化。
    • 二次硬化(允许碳化物、析出和粗化)

14.png

十四、渗碳与氮化模型

碳化物在渗碳过程中形成/分解

  • 对于含有碳化物形成元素的合金钢,碳化物可能在渗碳过程中形成。
    • 渗碳工艺应设计和优化以避免有害碳化物。

15.png

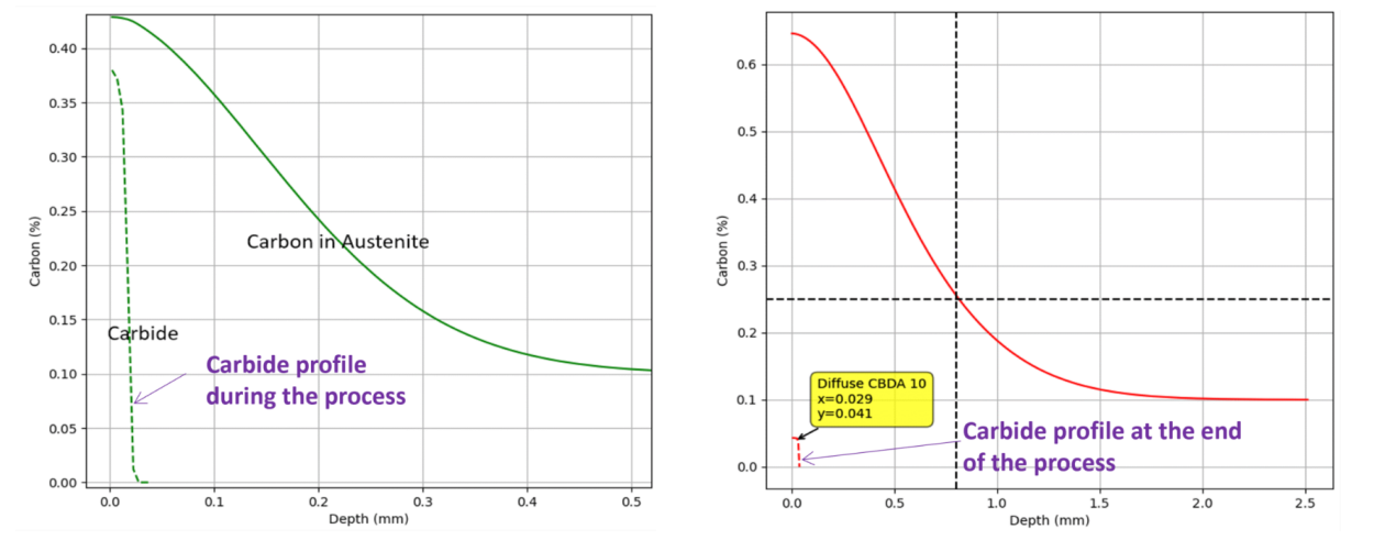
  • 在高合金钢的低压渗碳(LPC)过程中,碳化物在增压阶段形成,这在扩散阶段提供了额外的碳源。
    • 碳化物形成量、粗化速率和分解速率在助推/扩散步骤中会影响最终结果:表层碳、渗碳层深度和碳化物分布。

  • DANTE渗碳材料模型可用于模拟碳化物的形成和分解过程。
  • 对于带有碳化物形成元素的高合金钢,LPC过程中碳化物成形是不可避免的。
    • 通过 DANTE材料模型(渗碳模型),增压扩散工艺可以设计以最小化不需要的碳化物的深度和数量。

16.png

十五、 DANTE氮化模型

  • DANTE氮化模型包括:
    • 氮的扩散
    • 氮化物ε相(白亮层)的形成与溶解
    • 氮化物γ相(氮化合金)的形成与溶解
    • 氮化引起的材料体积膨胀
    • 对于变形和残余应力模拟,是必要的。

17.png

底部.png